Pytoch
1、安装 Pytoch
创建新环境并下载 Pytorch
打开 Anaconda Prompt
使用指令
conda create -n evn_name python=3.6创建环境使用指令
conda activate evn_name切换环境通过
pip list查看环境的所有包查看 Pytoch 安装指令 https://pytorch.org/
conda install pytorch torchvision torchaudio pytorch-cuda=11.8 -c pytorch -c nvidia
在新环境下下载 Jupyter
2、简单回归问题
- 梯度下降 Gradient Descent
- 线性回归
- 逻辑回归
手写数字识别案例
import torch
from torch import nn
from torch.nn import functional as F
from torch import optim
import torchvision
from matplotlib import pyplot as plt
from utils import plot_image,plot_curve,one_hot
batch_size = 512
# step1. 加载数据
train_loader = torch.utils.data.DataLoader(
torchvision.datasets.MNIST('mnist_data', train=True, download=True,
transform=torchvision.transforms.Compose([
torchvision.transforms.ToTensor(),
torchvision.transforms.Normalize(
(0.1307,), (0.3081,))
])),
batch_size=batch_size, shuffle=True)
test_loader = torch.utils.data.DataLoader(
torchvision.datasets.MNIST('mnist_data/', train=False, download=True,
transform=torchvision.transforms.Compose([
torchvision.transforms.ToTensor(),
torchvision.transforms.Normalize(
(0.1307,), (0.3081,))
])),
batch_size=batch_size, shuffle=False)
x, y = next(iter(train_loader))
print(x.shape, y.shape, x.min(), x.max())
plot_image(x, y, 'image sample')
class Net(nn.Module):
def __init__(self):
super(Net, self).__init__()
# xw+b
self.fc1 = nn.Linear(28*28, 256)
self.fc2 = nn.Linear(256, 64)
self.fc3 = nn.Linear(64, 10)
def forward(self, x):
# x: [b, 1, 28, 28]
# h1 = relu(xw1+b1)
x = F.relu(self.fc1(x))
# h2 = relu(h1w2+b2)
x = F.relu(self.fc2(x))
# h3 = h2w3+b3
x = self.fc3(x)
return x
net = Net()
# [w1, b1, w2, b2, w3, b3]
optimizer = optim.SGD(net.parameters(), lr=0.01, momentum=0.9)
train_loss = []
for epoch in range(3):
for batch_idx, (x, y) in enumerate(train_loader):
# x: [b, 1, 28, 28], y: [512]
# [b, 1, 28, 28] => [b, 784]
x = x.view(x.size(0), 28*28)
# => [b, 10]
out = net(x)
# [b, 10]
y_onehot = one_hot(y)
# loss = mse(out, y_onehot)
loss = F.mse_loss(out, y_onehot)
optimizer.zero_grad()
loss.backward()
# w' = w - lr*grad
optimizer.step()
train_loss.append(loss.item())
if batch_idx % 10==0:
print(epoch, batch_idx, loss.item())
plot_curve(train_loss)
total_correct = 0
for x,y in test_loader:
x = x.view(x.size(0), 28*28)
out = net(x)
# out: [b, 10] => pred: [b]
pred = out.argmax(dim=1)
correct = pred.eq(y).sum().float().item()
total_correct += correct
total_num = len(test_loader.dataset)
acc = total_correct / total_num
print('test acc:', acc)
x, y = next(iter(test_loader))
out = net(x.view(x.size(0), 28*28))
pred = out.argmax(dim=1)
plot_image(x, pred, 'test')3、张量
数据类型
在 python 中有数据类型 int、float......,在 PyTorch 中对应 IntTensor,FloatTensor,同时该数据类型有维度,如 int 标量 3 的维度是 0,矩阵的维度是 2
注:PyTorch 没有对应 python 中 string 类型的数据类型,解决方案有:one-hot [0,1,0...]、Embedding(Word2vec,glove)
数据类型
| 数据类型 | dtype | CPU Tensor | GPU Tensor |
|---|---|---|---|
| 32bit float | torch.float or torch.float32 | torch.FloatTensor | torch.cuda.FloatTensor |
| 64bit float | torch.double or torch.float64 | torch.DoubleTensor | torch.cuda.DoubleTensor |
| 8bit integer | torch.uint8 | torch.ByteTensor | torch.cuda.ByteTensor |
| 32bit integer | torch.int32 or torch.int | torch.IntTensor | torch.cuda.IntTensor |
| 64bit integer | torch.int64 or torch.long | torch.LongTensor | torch.cuda.LongTensor |
- Dimension(维度)为 0 的一般称为
标量 - Dimension(维度)为 1 的一般称为
张量(数学中成为向量)
常用方法
| 方法 | 含义 |
|---|---|
a.type() | 获取 tensor 的类型 |
isinstance(a,torch.FloatTensor) | 合法化检验,判断 tensor 是否是某个类型的 tensor,cpu tensor 和 cuda tensor 返回结果不同 |
torch.from_numpy(a) | 使用 numpy 创建 tensor |
torch.tensor(value) | 创建 tensor,参数中接收的是数据的内容 |
torch.FloatTensor(nums/shape/value) torch.IntTensor(nums/shape/value) torch.Tensor(nums/shape/value)... | 参数接收个数, shape 或 value 创建 tensor torch.FloatTensor(2),torch.FloatTensor(2,3),torch.FloatTensor([2.,8.3]) |
torch.empty(shape) | 创建未初始化 tensor |
torch.set_default_tensor_type(torch.DoubleTensor) | 设置 pytorch 默认 tensor 类型,使用 torch.Tensor() 方法默认创建默认类型 tensor |
a = a.cuda() | 返回一个 gpu 上的引用 |
a.dim() | 返回 tensor 的维度(size 的长度) |
a.shape | 返回 tensor 的 size(不同维度长度的数组) |
torch.rand(shape) | 参数接收 size 数组,产生 [0,1] 均匀分布随机值的 tensor |
torch.rand_like(a) | 创建与 tensor a shape 相同的随机 tensor |
torch.randint(min,max,shape) | 创建值左闭右开的随机 tensor |
torch.randn(shape) | 参数接收 size 数组,产生 [0,1] 正态分布随机值的 tensor |
torch.randperm(num) | 生成 0 - num 左闭右开的位置随机的 tensor |
torch.ones(shape) | 生成全是 1 的 tensor |
torch.zeros(shape) | 生成全是 0 的 tensor |
torch.eye(shape) | 对角是 1 的 tensor |
torch.full(shape,value) | 生成值都一样的 tensor |
torch.arange(min,max,step) | 生成值为等差数列的 tensor |
torch.linspace(min,max,steps=nums) | 生成 nums 个等差值的 tensor |
a.size(i) | 返回 size 数组索引为 i 的值 |
a.shape[i] | 返回 size 数组索引为 i 的值,也可以直接使用 a.shape 获取 size 对象,可以直接使用 list(a.shape) 将 size 转换为 list |
a.numel() | 返回 tensor 占用的内存 |
创建 dim 0 的 tensor:
torch.tensor(1.) torch.tensor(2.2) torch.full([],7.) # dim 为 0创建 dim 1 的 tensor
torch.tensor([1.1]) torch.tensor([2.2,3.3]) torch.FloatTensor(1) torch.FloatTensor(2) # 使用 numpy 创建 data = np.ones(2) torch.from_numpy(data)创建 dim 2 的 tensor
a = torch.randn(2,3) a.shape创建 dim 3 的 tensor
a = torch.rand(1,2,3) a.shape a[0] list(a.shape)
tensor 索引及切片
索引
- 无论什么方法通过索引取出维度必然下降
a = torch.rand(4,3,28,28)
a[0].shape # torch.Size([3,28,28])
a[0,0].shape # torch.Size([28,28])
a[0,0,2,4] # tensor(0.8082)切片
a = torch.rand(4,3,28,28)
a[:2].shape # torch.Size([2,3,28,28])
a[:2,:1,:,:].shape # torch.Size([2,1,28,28])
a[:2,1:,:,:].shape # torch.Size([2,2,28,28])
a[:2,-1:,:,:].shape # torch.Size([2,1,28,28])
a[:,:,0:28:2,0:28:2].shape # torch.Size([4,3,14,14])a.index_select(num,tensor) 函数
- 第一个参数 num 表示对那个维度进行操作
- 第二个参数
- torch.tensor[x,y],左右都为闭区间,表示该维度上的范围
- torch.arange(x),该维度从 0 - x 左闭右开的范围
a = torch.rand(4,3,28,28)
a.index_select(0,torch.tensor([0,2])).shape # torch.Size([2,3,28,28])
a.index_select(1,torch.tensor([1,2])).shape # torch.Size([4,2,28,28])...
- ... 代表若干个 :
a = torch.rand(4,3,28,28)
a[...].shape # torch.Size([4,3,28,28])
a[0,...].shape # torch.Size([3,28,28])
a[:,1,...].shape # torch.Size([4,28,28])
a[...,:2].shape # torch.Size([4,3,28,2])masked_select()
- 通过掩码索引
x = torch.randn(3,4)
mask = x.ge(0.5) # 元素值大于 0.5 的
torch.masked_select(x,mask) # size 为 [x] 一维take()
- 先将元素打平成一维
torch.tensor([4,3,5],[6,7,8])
torch.take(src,torch.tensor[0,2,5]) # tensor([4,5,8])维度变换
view reshape
- 使用 a.view(shape) 方法对 tensor 进行变换
- 变换后新的 tensor 会丢失原来的维度信息
a = torch.rand(4,1,28,28)
a.view(4,28*28) # 维度变换为二维 4 1*28*28 , shape 为 4,784
a.view(4*1,28,28).shape # 4,28,28
b = a.view(4,784)
b.view(4,28,28,1) # Logic Bugunsqueeze
- 使用 a.unsqueeze(index) 方法添加维度
- 通过索引添加,正数在前负数在后
a = torch.rand(4,1,28,28)
a.unsqueeze(0).shape # [1,4,1,28,28]
a.unsqueeze(-1).shape # [4,1,28,28,1]squeeze
- 使用 a.squeeze(index) 方法减少维度,只能减少维度值是 1 的维度
- 不添加 index 参数,挤压所有维度值是 1 的维度
b.shape # torch.Size([1,32,1,1])
b.squeeze().shape # torch.Size([32])
b.squzzez(0).shape # torch.Size([32,1,1])
b.squzzez(-1).shape # torch.Size([1,32,1])
b.squzzez(1).shape # torch.Size([1,32,1,1])expand
- a.expand(shape) 方法可以将维度值扩展
- 只能扩展值为 1 的维度到 n
- -1 代表原来的维度不变
a = torch.rand(4,32,14,14)
b.shape # torch.Size([1,32,1,1])
b.expand(4,32,14,14).shape # torch.Size([4,32,14,14])
b.expand(-1,32,-1,-1).shape # torch.size([1, 32,1, 1])
b.expand(-1,32,-1,-4).shape # torch.Size([1, 32,1,-4]) -4 是无意义的repeat
- a.repeat(shape) 可以将维度值进行拷贝
- 该方法内存占用多,推荐使用 expand
b.shape # torch.Size([1, 32,1, 1])
b.repeat(4,32,1,1).shape # torch.Size([4,1024,1, 1])
b.repeat(4,1,1,1).shape # torch.Size([4,32,1,1])
b.repeat(4,1,32,32).shape # torch.size([4,32, 32,32])t
- 矩阵转置,t 方法只能用于维度为 2 的 tensor
a = torch.randn(3,4)
a.t()transpose
- a.transpose(a,b) 方法用于两个维度交换
- 交换后的 tensor 进行 view 变换前使用 contiguous 方法,将数据变为连续,变换回来需再交换
a.shape # [4,3,32,32]
a1 = a.transpose(1,3) # [4,32,32,3]
a2 = a.transpose(1,3).contiguous().view(4,3*32*32).view(4,32,32,3).transpose(1,3)permute
- permute 方法通过索引交换维度
a = torch.rand(4,3,28,32)
a.permute(0,2,3,1).shape # [4,28,32,3]Broadcast 自动扩张机制
Broadcast 可以对需要扩张的 tensor 自动扩张成 size 与另一个 tensor 相同的机制
Broadcast 适用范围:须变换 tensor 与目标 tensor 对应维度值相同或是 1
合并与分割
torch.cat([tensor],dim)用于 tensor 在相同维度的合并,参数:
- tensor 列表
- dim 要变换的维度索引
a = torch.rand(4,32,8) b = torch.rand(5,32,8) torch.cat([a,b],dim=0).shape # torch.Size([9,32,8])
torch.stack([tensor],dim)用于 tensor 的聚集,并在 dim 索引上产生新的维度,数量为 tensor 列表的数量,参数:
- tensor 列表
- dim 要变换的维度索引
a = torch.rand(32,8) b = torch.rand(32,8) torch.cat([a,b],dim=0).shape # torch.Size([2,32,8])
torch.split(list/len,dim)用于对 tensor 某个维度进行拆分,拆分方式可以指定一个 list 或指定长度,参数:
- list / len:指定拆分方式
- dim:维度索引
b=torch.rand(32,8) a.shape # torch.size([32,8]) c=torch.stack([a,b],dim=0) c.shape # torch.size([2,32,8]) aa, bb = c.split([1,1],dim=0) aa.shape , bb.shape # torch.size([1 32,8]), torch.size([1, 32,8]) aa, bb = c.split(1,dim=0) aa.shape,bb.shape # torch.size([1,32,8]), torch.size([1,32,8]) aa, bb = c.split(2,dim=0) # error
torch.chunk(num,dim)用于对 tensor 某个维度进行拆分,拆分成 num 个 tensor,参数:
- num:拆分的数量
- dim:维度索引
b=torch.rand(32,8) a.shape # torch.size([32,8]) c=torch.stack([a,b],dim=o) c.shape # torch.size([2,32,8]) aa,bb = c.chunk(2,dim=0) aa shape,bb.shape # torch.size([1,32,8]), torch.size([1,32,8])
数学运算
- 加减乘除
- tensor 可以使用 +、-、*、/ 或 add、sub、mul、div 方法进行运算,运算时会有 broadcast 机制
- 矩阵相乘
- torch.mm(a,b),该方法只适用于 2d 的 tensor
- torch.matmul,该方法适用于所有维度的 tensor
- 多维矩阵乘法规则:后两维矩阵相乘,前面的保持不变或进行 broadcast
- @,与 matmul 方法相同
- 幂运算、对数运算
- a.pow(num) / a**num
- a.sqrt():平方根
- a.rsqrt():平方根的倒数
- torch.exp(a):tensor 中每一个数做为 e 为底的次方
- torch.log(a):tensor 中每一个数取 e 的对数
- 其他
- a.floor()
- a.ceil()
- a.trunc():取整数
- a.frac():取小数
- a.max()
- a.min()
- a.clamp(num):最小值限定
- a.clamp(num1,num2):区间限定
- sum,mean(均值),prod(累乘),argmax(最大值索引),argmin(最小值索引)
属性统计
a.norm(num,dim):
参数 num 代表做几范数
dim 表示对对应维度索引操作
a.norm(1):求合
a.norm(2):平方和开根 $\sqrt{\sum|x|^2 } $
a.norm(2,dim=1):指定维度
对某个维度取范数,对应维度就会消掉

min,max,sum,mean(均值),prod(累乘),argmax(最大值索引),argmin(最小值索引)
min,max 带
dim参数返回该 dim 索引的最大值和索引两个tensormin,max 带
keepdim = True参数返回的最大值 tensor 与原维度相同注意:argmax,argmin 不带参数调用会将维度打平,传入参数
dim=x,计算对应维度最值索引a.topk(num,dim,largest)
num:几个最大值
dim:维度索引
largest:默认为 True,False 为最小的几个
a.topk(3,dim=1) a.topk(5,dim=1,largest=False)
a.kthvalue(num,dim)
- 返回 dim 索引维度上第 num 小的 tensor 及其索引
compare
- >,<,>=,<=,!=,==
- torch.eq(a,b) 判断对应值是否相等
- torch.equal(a,b) 判断完全是否一样
高阶操作
torch.where(condition,x,y)
根据条件返回 x,y 两个 tensor 的合并,condition 为 True 选 x,反之选 y
cond # [[0.6,0.7],[0.8,0.4]] a #[[0,0],[0,0]] b #[[1,1],[1,1]] torch.where(cond>0.5,a,b) #[[0,0][0,1]]torch.gather(input,dim,index,out=None)
prob=torch.randn(4,10) idx=prob.topk(dim=1, k=3) ''' (tensor([[2.4437,1.5195,1.3598], [1.6027, 1.4003,0.7402], [2.8965,0.3600,0.1961], [2.2636,0.9490,0.3886]]), tensor([[7,4,9], [7,4, 9], [8,1, 3], [8,6,o]])) ''' idx=idx[1] label=torch.arange(10)+100 # tensor([100, 101, 102, 103,104, 105, 106,107,108,109]) torch.gather(label.expand(4,10), dim=1, index=idx.long()) ''' tensor([[107,104,109], [107,104,109], [108, 101, 103], [108, 106,100]]) '''
4、梯度、激活函数、链式法则、反向传播
梯度
导数 , 函数变化率
偏微分,函数对不同变量的导数
梯度:函数对不同导数构成的向量
如何通过梯度寻找到极小值解(:a 为 learning rate 学习率):
激活函数
Sigmoid / Logistics
将数进一步压缩到 [0,1]在 pytorch 中使用 sigmod
from torch.nn import functional as F a = torch.linspace(-100,100,10) torch.sigmod(a) F.sigmod(a) # 与上面相同,已过时Tanh
该函数在 RNN 中用的多
将数进一步压缩到 [-1,1]ReLU
在 pytorch 中使用 ReLU
from torch.nn import functional as F a = torch.linspace(-1,1,10) torch.relu(a) F.relu(a)
Loss 及其梯度
Loss 有
Mean Squared Error(MSE)均方误差
Cross Entropy Loss
- 可用于二分类
- 多分类
- +softmax
- Leave it to Logistic Regression Part
MSE
loss 对 theta 求导:
使用 pytorch 自动求导与 mse 的使用
- F.mse_loss(prod,label)
- torch.autograd.grad(prod,[w1,w2...]) 返回 list[w1 grad,w2 grad....]
# 简单线性模型 prod = xw + b = 1 * 2 + 0
x = torch.ones(1)
w = torch.full([1],2.) # dim = 1, val = 2, b = 0
# 此时没有设置那个变量需要 grad 信息,需重新设置
mse = F.mse_loss(torch.ones(1),x*w) # 第一个参数 prod 的值,第二个参数 label 的值(此处相反)
w.requires_grad_() # 设置 w 有梯度信息(它作为变量)
mse = F.mse_loss(torch.ones(1),x*w) # 重新设置图信息
torch.autograd.grad(mse,[w])- loss.back() 执行完后 w1,w2.. 附带 grad 属性,并清除梯度信息
x = torch.ones(1)
w = torch.full([4],2)
mse = F.mse_loss(torch.ones(1),x*w)
w.requires_grad_()
mse = F.mse_loss(torch.ones(1),x*w)
mse.backward()
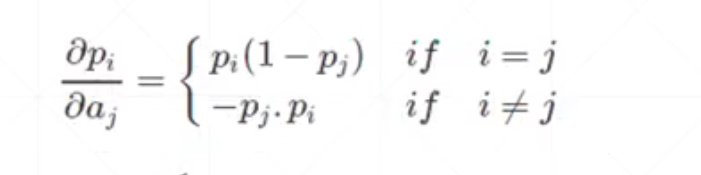
w.grad # tensor[2.]softmax
softmax 是一个激活函数,用于将不同的输入数压缩称总和为 1 的概率数

softmax 的梯度/导数结论:

softmax 在 pytorch 中的使用
a = torch.rand(3)
a.requires_grad_()
p = F.softmax(a,dim=0) # 自动建图
torch.autograd.grad(p[1],[a],retain_graph=True)
torch.autograd.grad(p[2],[a])感知机的梯度推导
单层单输出感知机模型

- 表示神经网络第 i 层第 j 个结点(神经网络第 0 层为输入层),经过激活函数的 O 同理
- l 表示第 l 层,i 对应上一层的 结点,j 对应下一层的 结点
- t 表示 target,E 表示做 loss

loss 对 wj0 求导

在 pytorch 中计算
x=torch.randn(1,10)
w=torch.randn(1,10,requires_grad=True)
o=torch.sigmoid(x@w.t())
o.shape
loss=F.mse_loss(torch.ones(1,1),o)
loss.shape
loss.backward()
w.grad单层多输出感知机模型

loss 对 wjk 求导

在 pytorch 中计算
x=torch.randn(1,10)
w=torch.randn(2,10,requires_grad=True)
o=torch.sigmoid(x@w.t())
o.shape # torch.size([1,2])
loss=F.mse_loss(torch.ones(1,1),o) # 写成 (1,1) 有 boardcast 机制
loss #tensor(0.2443,grad_fn=<MeanBackward1>)
loss.backward()
w.grad链式法则
链式法则运用于多层感知机模型,输入层经过隐藏层、输出层、计算 loss

在 Pytoch 中链式法则的应用案例:
x=torch.tensor(1.)
w1=torch.tensor(2.,requires_grad=True)
b1=torch .tensor(1.)
w2=torch.tensor(2.,requires_grad=True)
b2=torch.tensor(1.)
y1=x*w1+b1
y2=y1*w2+b2
dy2_dy1=autograd.grad(y2,[y1],retain_graph=True)[0] # y2 对 y1 求导
dy1_dw1=autograd.grad(y1,[w1],retain_graph=True)[0] # y1 对 w1 求导
dy2_dw1=autograd.grad(y2,[w1],retain_graph=True)[0] # y2 对 w1 求导(跳阶)
dy2_dy1*dy1_dw1 # 手动计算链式法则 tensor(2.)
dy2_dw1 # pytorch 自动链式法则 tensor(2.)MLP 反向传播
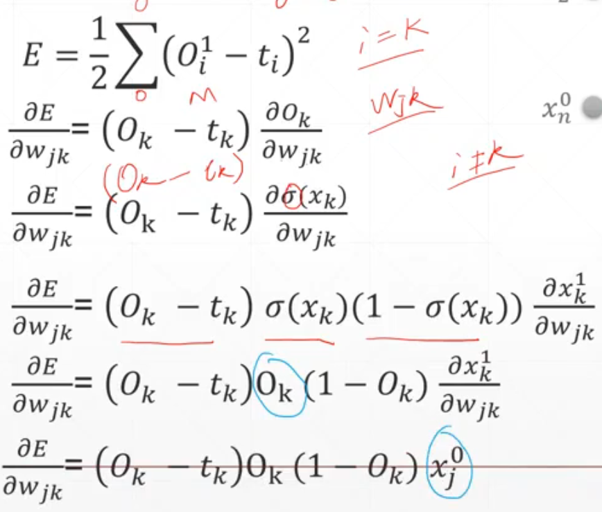
多层多输出感知机 loss 对 wij 求导

2D 函数优化实例
import numpy as np
import matplotlib.pyplot as plt
import torch
import torch.nn as nn
import torch.nn.functional as F
import torch.optim as optim
def himmelblau(x):
return (x[0] ** 2 + x[1] - 11)** 2 + (x[0] + x[1] ** 2 - 7) ** 2
x= np.arange(-6,6,0.1)
y = np.arange(-6,6,0.1)
print('x,y range:"', x.shape, y.shape)
X,Y = np.meshgrid(x,y)
print( 'X,Y maps:',X.shape, Y.shape)
Z = himmelblau([X,Y])
fig = plt.figure('himmelblau' )
ax = fig.gca(projection='3d')
ax.plot_surface(X,Y,Z)
ax.view_init(60,-30)
ax.set_xlabel('x')
ax.set_ylabel('y')
plt.show()
# [1., 0.],[-4,0.],[4, 0.]
x = torch.tensor([0., 0.], requires_grad=True)
optimizer = torch.optim.Adam([x],lr=1e-3) # 优化器,完成 x1 = x - 0.001△x,y1 = y - 0.001△y
for step in range(20000):
pred = himmelblau(x)
optimizer.zero_grad()
pred.backward() # 生成 x,y 的梯度信息
optimizer.step() # 更新 x,y
if step % 2000 == 0:
print ('step {}: x = {}, f(x) = {}'
.format(step,x.tolist(),pred.item()))Logistic Regression
多分类问题实战
w1,b1 = torch.randn(200, 784,requires_grad=True),
torch.zeros(200,requires_grad=True )
w2,b2 = torch.randn(200,200,requires_grad=True)
torch.zeros(200,requires_grad=True )
w3,b3 = torch.randn(10,200,requires_grad=True),
torch.zeros(10,requires_grad=True)
def forward(x):
x = x@w1.t() + b1
x = F.relu(x)
x = x@w2.t() + b2
x = F.relu(x)
x = x@w3.t() + b3
x = F.relu(x)
return x
optimizer = optim.SGD([w1, b1,w2, b2, w3, b3], lr=learning_rate)
criteon = nn.CrossEntropyLoss()
for epoch in range(epochs):
for batch_idx, (data, target) in enumerate(train_loader):
data = data.view(-1,28*28)
logits = forward(data)
loss = criteon(logits, target )
optimizer.zero_grad()
loss.backward()
# print(w1 .grad.norm(), w2.grad.norm())
optimizer.step()5、GPU 加速
to(device) 将放到 GPU 中计算

6、Visdom 可视化
安装:pip install visdom
run server:在 cmd 中 python -m visdom.server
使用:建议看其他文档
from visdom import Visdom
viz = Visdom()
viz.line([0.],[0.],win='train_loss',opts=dict(title='train loss'))
viz.line([loss.item()],[global_step],win='train_loss',update='append')7、过拟合、欠拟合、小技巧
overfitting(过拟合) 现象

检测 overfitting
train-val-test 划分
如何检测出现过拟合:将数据划分为训练集和测试集(验证集)
# 数据划分
train_db,val_db = torch.utils.data.random_split(train_db,[50000,10000])
print('db1:',len(train_db),'db12:',len(val_db))
train_loader = torch.utils.data.DataLoader(
train_db,batch_size=batch_size,shuffle=True
)
val_loader = torch.utils.data.DataLoader(
val_db,batch_size=batch_size,shuffle=True
)k 折交叉验证
将 train 数据集划分为 k 份,每次取一份做 validation,其他 n-1 份做 training,执行 n 次
防止、减轻 overfitting
regularization 正规化
在原来的 loss 上加一个一范数或二范数



动量、学习率衰减
动量(momentum)即惯性,之前梯度更新的公式为 $w{k+1}=wk-\alpha \bigtriangledown f(w^k) $,添加动量后,梯度更新的方向增加融合上一次更新的方向,即
pytorch 中动量的使用:添加 momentum,weight_decay 参数
optimizer = torch.optim.SGD(model.parameters(), args.lr,momentum=args.momentum,weight_decay=args.weight_decay)
scheduler = ReduceLROnPlateau(optimizer, 'min')
for epoch in xrange(args.start_epoch, args.epochs):
train(train_loader, model, criterion, optimizer, epoch)
result_avg, loss_val = validate(val_loader, model, criterion, epoch)
scheduler.step(loss_val)在设置学习率时,可以先设置大学习率,当 loss 变化不大时,调小学习率
Early Stopping、Dropout
Early Stopping:当测试集准确度在最大值时,选择此时模型,测试集准确度下降时会有过拟合
Dropout:Dropout 可以减少过拟合,在前向传播时,部分有概率设置为 0,降低连接数量
dropout 在 pytorch 中的使用
net_dropped = torch.nn.Sequential( torch.nn.Linear(784,200), torch.nn.Dropout(0.5), # drop 50% of the neuron torch.nn.ReLU(), torch.nn.Linear(200,200), torch.nn.Dropout(0.5), # drop 50% of the neuron torch.nn.ReLU(), torch.nn.Linear(200,10), )- torch.nn.Dropout(p=droup_prob)
- Tensorflow:tf.nn.dropout(keep_prob)
在 test 时必须把连接全部用上

数据增强
图片数量有限,为增加数据量,可以对原始数据做 flip,rotate,scale,resize,copy part,noise。nn 提供了对应的方法
8、卷积神经网络
使用 pytorch 实现简单二维卷积神经网络
layer=nn.Conv2d(1,3,kernel_size=3,stride=1,padding=0) # stride 为步长
x=torch.rand(1,1,28,28)
out=layer.forward(x) # torch.size([1,3,26,26])
layer=nn.Conv2d(1,3,kernel_size=3,stride=1,padding=1)
out=layer.forward(x) # torch.size([1,3,28,28])
layer=nn.Conv2d(1,3,kernel_size=3,stride=2,padding=1)
out=layer.forward(x) # torch.Size([1,3,14,14])
out=layer(x) # __call__ # torch.size([1,3,14,14])
layer.weight.shape # torch.Size([3,1,3,3])
layer.bias.shape # torch.Size([3])
池化层
x=out # torch.Size([1,16,14,14])
layer=nn.MaxPoo12d(2,stride=2)
out=layer(x) # torch.Size([1,16,7,7])
out=F.avg_poo12d(x,2,stride=2) # torch.Size([1,16,7,7])ReLU
x.shape # torch.size([1,16,7,7])
layer=nn.ReLU(inplace=True)
out=layer(x)
out.shape # torch.Size([1,16,7,7])
out=F.relu(x)
out.shape # torch.Size([1,16,7,7])Batch Norm
因为 sigmod 函数在输入 -4 到 4 以外的数接近于 0,因此需要将输入的数据缩放在接近于 0 以便快速梯度下降
https://www.bilibili.com/video/BV1L2421N7jQ/

经典卷积神经网络
LeNet-5:手写数组识别、VGG、GoogleNet,ResNet(重要)
卷积神经网络实战
9、nn.Module 模块
nn 模块提供了大量神经网络现成的模块(Linear,ReLU,Sigmoid,Conv2d,ConvTransposed2d,Dropout,etc.),它通常也做为父类
Container

parameters 返回 net 的所有参数

modules
可以查看 net 下包含自己的所有 module,孩子 module


to(device)
将网络结构搬到 GPU 上
device = torch.device('cuda') net = Net() net.to(device)save and load
用于保存训练时的中间状态

train / test
完成所有 module train 状态 test 状态的切换

implement own layer
自己实现 tensor 的打平类

own linear layer
自定义 linear 类
